徠卡機器人全站儀助力三等水準測量
一、前言
目前高程測量方法一般分為幾何水準測量、GPS水準測量和三角高程測量三大類。采用傳統水準的方法測定點與點之間的高差,所得到的地面點高程精度較高,普遍用于建立國家高程控制點及測定高等級地形控制點的高程。對于地面高低起伏較大的地區,采用這種方法測定地面點的高程進程緩慢,有時甚至非常困難。

精密三角高程測量在丘陵地、山地、高山地區相比常規水準測量,因架站少、架站自由、靈活、快速,不需要量測儀器、棱鏡高,傳遞高程優勢顯著,能大大降低外業勞動強度,但受限于全站儀的硬件性能,此前一直未能在生產中實際應用;徠卡測量機器人的出現,打破了三角高程測量不能代替高精度水準測量的束縛,徠卡自動全站儀多測回自動觀測、自動識別限差,給野外測量帶來很大的便利,尤其夜間觀測成果更佳。
二、精密三角高程測量技術的可行性研究

作業流程:
檢測棱鏡互差,并檢核棱鏡的加裝是否符合要求,同時還要對全站儀進行組合檢校;
在起點布設棱鏡桿,在距離起點較近的一點(轉點1),布設主站;
主站在轉點1依次觀測棱鏡桿低棱鏡(①)和棱鏡桿高棱鏡(②);
主站不動,在轉點2架設輔站。依次進行如下觀測:后測站觀測低棱鏡(③)、前測站觀測低棱鏡(④)、前測站觀測高棱鏡(⑤)、后測站觀測高棱鏡(⑥);
主站換站至轉點3,輔站不動。依次進行如下觀測:后測站觀測低棱鏡(⑦)、前測站觀測低棱鏡(⑧)、前測站觀測高棱鏡(⑨)、后測站觀測高棱鏡(⑩);
輔站換站,依次循環進行高程的傳遞至接近末點處;
在最后的轉站,主站依次觀測末點高低棱鏡。
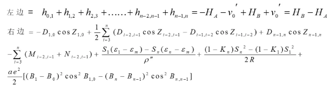
數據模型:

限差

三、項目驗證
為了驗證精密三角高程測量的精度, 內蒙古自治區測繪院使用徠卡TCRA1201全站儀、徠卡TS30全站儀及徠卡TS60全站儀等檢測了很多段用數字電子水準儀測得二等水準路線。其結果如表所示, 精密三角高程測量是完全可以達到二等水準測量的要求。

四、經驗積累、廣泛應用
自2010年5月以來,內蒙古自治區測繪院在呼和浩特、包頭、鄂爾多斯、巴彥淖爾市、烏蘭察布市、赤峰市已成功的使用徠卡自動全站儀精密三角高程測量代替二等水準測量1700多千米;在烏蘭察布市、呼倫貝爾市、興安盟、赤峰市等地方成功的使用徠卡自動全站儀精密三角高程測量代替三等水準測量4000多千米。

經過數年的研究,不同時間,不同區域,所測得的數據基本都能滿足國家二等水準測量規范的要求。徠卡自動全站儀搭配三角高程測量軟件、計算軟件和正確的測量方法,達到了目的和效果。同時我們也積累了諸多的外業經驗:
盡可能使用無伸縮腳架觀測,測段起、末水準點上,對中桿要放穩,保持高度不。
對向觀測時,如一站觀測時間過長,應重測對向觀測。
白天平均氣溫超過26℃時,在保障安全的作業前提下,最好在夜間作業,提前踏勘、選定觀測路線和測站點,更能顯著提高作業效率。
白天作業視線長度不宜超過800米,經過大量測量數據證明500米左右為最佳觀測距離。
白天作業時間遵照水準測量規范上的要求,由于在陽光直射和地面溫度較高,熱氣浪大時大氣折光影響較大。
自動照準觀測,視場內不能有遮擋物在棱鏡前。
視線不能通過煙火上空,觀測目標背后不能有大面積反光地物(蔬菜大棚),大面積水域。
在ATR自動照準時盡量避免陽光直射,由于正對太陽時,在自動照準光路中會有噪聲,從而影響自動照準的精度。

五、總結
傳統二、三等水準在山地、高山的測量中,需要耗費大量的人力、物力和財力,且效率極低。以傳統水準測量為例,在山地連測二、三等水準,單程連續觀測前后視距5-10米,一站一站連測,一個組一天連測3-5公里左右,依據財政部、國家測繪局2009 年頒布的《測繪生產成本費用定額》計算,100個水準點需要聯測1000千米。若對這些點進行二等水準觀測,100個水準點觀測的費用為207萬元,一個組5人需要400天完成。而同樣任務利用徠卡自動全站儀精密三角高程聯測二等水準,一個組一天聯測8-10公里左右,200天以內就可以完成1000千米的水準測量,節省大量的人力、物力。應用徠卡自動全站儀精密三角高程代替二、三等水準測量在困難地區聯測,可產生巨大的經濟效益。
徠卡自動全站儀精密三角高程測量具有傳遞高程靈活、方便、受地形條件限制較少等優點,徠卡測量機器人超高的測角測距精度,為精密三角高程測量提供了硬件保障,目前徠卡自動全站儀精密三角高程測量在大地測量、工程測量中得到了廣泛的應用。
更多相關
徠卡RTC360三維激光掃描儀在某石化工廠數字化中的應用
一、背景 石化工廠的安全運維是一項重要工作。但是如果工廠工程資料保存不完整或者太過陳舊,不能反映廠區真實現狀,就難以實現石化工廠的數字化管理。一般使用三維激光掃描儀完成工廠數字化可以獲取廠區的精...
徠卡GS18傾斜測量RTK在城市管線行業的應用
應用背景 現代城市當中,幾乎每條道路下都鋪設有供水、排水、燃氣、熱力、電力、電信等20多種地下管線。這就是我們的地下城市管線,它被形象的比喻成城市的“動脈”,為了保障城市的穩定運行,測量工作者往...
我國測繪類攝影測量與遙感標準現狀分析
攝影測量和遙感學是通過傳感器系統進行記錄和測量,對數據進行分析和表示,獲得關于地球及其環境和其他自然物體和過程的可靠信息的一門科學與技術。攝影測量與遙感技術可用于測制各種比例尺地形圖,建立基礎地理...
中海達iBEAM 8140P多波束測深儀技術解析
一、產品概述中海達iBEAM8140多波束測深儀是中海達公司推出的一款高性能水下地形測量設備,專為高精度海洋測繪、水文調查、航道疏浚及海底資源勘探等領域設計。該設備基于多波束測深技術,通過發射寬幅聲...
坐標轉換中的七參數詳談,測量員值得收藏
坐標轉換永遠是測繪工作離不開的一個話題。坐標轉換的方法很多,有的方法可以用相應的參數來描述,其中使用較廣的一個是七參數。七參數大多用于不同坐標系統間的基準變換。 七參數的由來 對于非測繪的專業...
新《測繪法》培訓班在吉林測繪地理信息局召開
新修訂的《中華人民共和國測繪法》(以下簡稱《測繪法》)將于7月1日起正式施行。為推進新《測繪法》貫徹實施,6月28日,吉林省測繪地理信息局舉辦了新《測繪法》培訓班。國家測繪地理信息局副局長宋超智出...
中海達iBoat BS15無人船:智慧水域勘探的可靠平臺
中海達iBoatBS15無人船:智慧水域勘探的可靠水面平臺隨著科技的發展,無人化、智能化作業正深刻變革著傳統測繪與海洋工程領域。在廣闊而復雜的水域環境中,中海達集團推出的iBoatBS15智能...
全站儀到底能不能進行振動監測
全站儀產品最初定位是單點位置采集工具,通過EDM測距并結合度盤測量的角度計算單點位置,但我們在日常的測量中,除進行單點的位置采集外還會遇到很多動態測量的情景,例如風電塔和橋梁的振動監測,而這些動態...











環球測繪微信